Голографические дифракционные элементы
Голографическая дифракционная решетка являясь простой по своей структуре, вместе с тем представляет собой сложный и дорогостоящий технологический элемент. Сфера применения таких дифракционных решеток, а в более общем случае, голографических оптических элементов поражает своей широтой. Сюда, например, относится оптика и спектроскопия, лазерная техника и оптоэлетроника, интегральная и волноводная оптика, а также массовое тиражирование голографических защитных элементов, голографической фольги и самоклеящейся пленки для целей полиграфии. Будучи ключевым элементом для применений, периодическая структура, какой является голографическая дифрауционная решетка, служит тест-объектом для оценки и оптимизации голографических регистрирующих сред и всех технологических стадий иготовления ГДР.
Таким образом была показана перспективность применения неорганических (сухих) фоторезистов для создания голографической элементной базы и голографии в широком понимании. Такие фоторезисты отличаются технологичностью и контролируемостью процесса получения заготовок для производства голографических дифракционных решеток/элементов. Здесь представлены некоторые результаты исследования и совершенствования технологии изготовления рельефных голографических дифракционных решеток, а также их основные оптимизированные эксплуатационные характеристики, полученные благодаря современным методам наблюдения за процессом формирования поверхностного рельефа и его сопоставления с характеристиками формируемых ГДР.
Исследования проводились на пленках фоторезиста, полученных термическим испарением в вакууме. При этом скорость нанесения выбиралась такой, чтобы обеспечить изначально максимальную светочувствительность фоторезиста. Состав материала контролировался до и после напыления с помощью микрорентгеноспектрального анализа. Лазерный интерфереционный контроль толщины на длине волны неактиничного света обеспечивал выход на заданную толщину голографического фоторезиста, а планетарное вращение подложки в процессе напыления вместе с использованием специальных эффузионных ячеек для распыляемого вещества – равномерность толщины по рабочей поверхности фотопластины. Исходя из прецезионности изготовления голографических дифракционных решеток напыление осуществлялось на специально изготовленные стеклянные подложки с плоскостностью λ/10.
В зависимости от задачи (пространственной частоты голографической дифракционной решетки, эксплуатационных параметров, площади элемента, его назначения) выбирается длина волны записывающего излучения. Обычно это источнки синего, зеленого и красного излучения в одномодовом и одночастотном исполнении.
В данных фоторезистах нет наперед заданного параметра светочувствительности. Благодаря уникальным возможностям процесса послеэкспозиционного химического процесса существует возможность существенного увеличения светочувствительности через создание поверхностного рельефа. В результате селективного химического травления (разные скорости травления экспонированных и неэкспонированных участков) исходно амплитудно-фазовая дифракционная решетка преобразуется в рельефно-фазовую. Коэффициент химического усиления по дифракционной эффективности может составлять 1000 – 2000 единиц, что эквивалентно существенному увеличению светочувствительности фоторезиста.__ Голографические дифракционные решетки формировались по симметричной схеме двулучевого интерферометра. При этом синусоидальная интерференционная картина записывающего излучения в конечном счете преобразуется в поверхностный рельеф с симметричным профилем штриха. Для записи использовались две длины волны (0.48 и 0.51 мкм) одномодового, одночастотного аргонового лазера. После преобразования голографической дифракционной решетки в рельефно-фазовую ее поверхность металлизируется – на нее в вакууме наносится алюминиевое покрытие. ГДР становится отражательной. Дифракционная эффективность измерялясь в режиме автоколлимации для двух взаимоортогональных поляризаций света и рассчитывалась для неполяризованного света. Пространственная частота отражательных дифракционных решеток составляла 600, 1200, 2400 мм-1. , Характеристики поверхностного рельефа соответствующих голографических дифракционных решеток исследовались с помощью атомно-силового микроскопа АСМ Carl Zeiss Ultra Objective. Полученные результаты представлены на рисунках 1 и 2. Они наглядно демонстрируют высокое качество постадийной обработки ГДР в процессе изготовления. На стадии химической обработки в оригинальных травителях на поверхности рельефной голографической дифракционной решетки не образуется никаких центров рассеяния, стенки голографического гофра имеют гладкую поверхность. Как результат-низкий уровень рассеянного света. Интенсивность рассеянного света для исследованного интервала пространственых частот отражательных ГДР не превышала (2-5)10-7 на расстоянии 10 Å от центра спектральной линии.
Рис.1.
Рис.2 

Рис. 4

Рис. 5
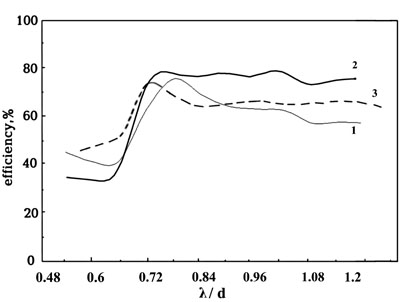
На рисунке представлен профиль рельефа, по которому уточняется пространственная частота рельефа и определяются его параметры. В данном случае период решетки равен 1.74 мкм, что соответствует пространственной частоте 575 мм-1. Висота рельефного виступа составляет 0.18 периода решетки. При этом график спектральной зависимости дифракционной эффективности отражательной ГДР для поляризованного и неполяризованного света имеет вид, показанный на рисунке .
Для высокочастотной отражательной ГДР основные соотношения таковы. Период дифракционной решетки составил 0.39 мкм, пространственная частота, соответственно, 2564 мм-1. Отношение высоты рельефа к периоду решетки составляет . Спектральная зависимость дифракционной эффективности представлена на рис.
Другие новости

Пленочные клавиатуры – это гибкие, многослойные, электронные устройства без механически двигающихся элементов. Они используются в бытовых, медицинских, контрольно-измерительных приборах, в системах управления и связи, в станках и механизмах, на транспорте, в офисных и производственных помещениях, на земле, под землей, под водой и даже в космосе. Лицевая панель оборудования с такой клавиатурой не только выглядит современно и качественно, но и удобна при эксплуатации.
Характерные особенности клавиатуры приборов:
гибкость и маленькая толщина (800-900 микрон);
герметичность токопроводящих частей от грязи и влаги;
высокие надежность и износостойкость; низкая стоимость.
Основные виды пленочных клавиатур
БЕЗМЕМБРАННЫЕ
Характеризуется отсутствием тактильного эффекта при нажатии на кнопки, тем самым, обеспечивая легкую и бесшумную работу. Срабатывание устройства происходит в результате контакта специального замыкателя с токопроводящим слоем. Кнопкам можно придать практически любую несложную геометрическую форму: круглую, прямоугольную, овальную, полукруглую, в виде указателей и другую. По высоте рельеф можно сделать плоским, куполообразным или комбинированным. Существуют технические ограничения по размерам.
МЕМБРАННЫЕ

В своем составе содержат металлические мембраны, при нажатии на которые электрическая цепь замыкается. Применение мембран обеспечивает четкий тактильный эффект при эксплуатации. Во время работы мембрана продавливается и замыкает контакты на токопроводящей части или плате, раздается специфический щелчок. Это позволяет понять, что произошло взаимодействие и сильнее жать на клавишу не требуется.
Мембранные клавиатуры изготавливаются на основе гибких (FPC) и стандартных (PCB) печатных плат. Для гибких применяются пленки: фольгированные полиимидные или полиэфирные с токопроводящими пастами.
Со светодиодной индикацией
Изготавливаются с установленными SMD светодиодами и отдельным шлейфом питания. Светодиодная индикация несколько увеличивает толщину изделия. В зависимости от расположения SMD элементов можно получить как точечную индикацию, так и подсветку контуров или площадок целиком. Часто поверхность площадки тонируется необходимым цветом.
Изготовление пленочных клавиатур – сложный технологический процесс, требующий профессиональных знаний и умений. Различные слои рассматриваемых изделий состоят из разных материалов. Под пленкой размещается сложнейшая система, состоящая из нескольких частей. Вся эта конструкция клеевой основой (чаще всего клеепереносящими лентами 3М) крепится к корпусу прибора. Для изделий на жестких платах предусматривают и механическое крепление, например, винтами. Дополнительно возможны: использование антистатики, интеграция EL-подсветки, внедрение блокирующего или светорассеивающего слоя, рельеф кнопок.

Войд – идеальное решение для опломбировки деревянных, бумажных, стеклянных, пластиковых или гладких металлических поверхностей
Он предназначен для изготовления легкоразрушимой этикетки контроля вскрытия. Обладает водоотталкивающими свойствами и стойкостью к растворителям.
Лицевой слой материала легко разрушается, что обеспечивает гарантированную защиту от подделок. Имеет хорошую адгезию клея к большинству поверхностей с наличием стыков, резких изгибов или больших пустот. При попытке несанкционированного отклеивания пломбы на поверхности этикетки и/или поверхности появляется слово VOID, что гарантирует невозможность повторного приклеивания.
Подходит для всех традиционных методов печати. Возможна одноцветная и многоцветная печать, в том числе УФ отверждаемыми красками. Также имеется большая линейка собственных цветов материала. Ровная поверхность верхнего слоя обеспечивает прекрасное качество печати и тиснения.
Мы гарантируем хорошее качество материала, так как мы сами используем его в своей работе при изготовлении разрушаемых этикеток для наших клиентов.
Вы можете приобрести материал в удобной Для Вас нарезке и в любом объеме от 5 квадратных метров.
Характеристики:

Толщина: 100 микрон
Сила сцепления (90 градусов): 0,10 кг/дюйм
Температура использования от -5°C до +115°C
Срок хранения 1 год
Условия хранения: температур - 22°С и влажность 50 %
Доставка: по всей России. Возможен самовывоз из Москвы.
Виды войда:


Если Ваша типография использует в своей работе гарантийные материалы или Вы рассматриваете такую возможность как расширение Вашего бизнеса, то Вы попали по адресу. В нашей компании открылось новое направление - порезка и продажа материалов малыми партиями. Закупка материала в объеме более 1000 кв.м. не имеет для вас смысла? Наше предложение как раз для Вас. Мы можем предоставить Вам материал, сразу порезанный на нужную ширину и в нужной намотке. Минимальная партия 5 кв.м.
Заказать обратный звонок
Заказать образцы








